Intro to Java (ქართული ვერსია)
19.02.2021
03:43
მონაკვეთი ვიდეო კურსიდან „აპლიკაციების დეველოპმენტი ანდროიდისთვის“ https://www.udemy.com/course/geoandro... დამატებითი ინფორმაციისთვის დაგვიკავშირდით Facebook გვერდზე - https://www.facebook.com/TheGeorgianP... კურსზე მოქმედებს ფასდაკლება!
მსგავსი ვიდეოები
ირაციონალური და რაციონალური რიცხვები: შესავალი
Khan Academy Georgian
რა არის ფართობი და კვადრატული ერთეულები
Khan Academy Georgian
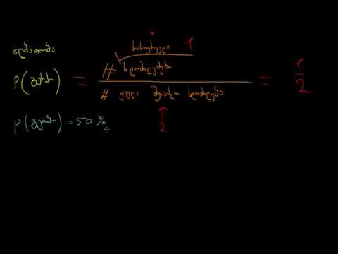
შესავალი თეორიულ ალბათობაში
Khan Academy Georgian
შერეული რიცხვების გამოკლება: შესავალი
Khan Academy Georgian
შერეული რიცხვების შეკრება: შესავალი
Khan Academy Georgian
შესავალი პითაგორას თეორემაში 1
Khan Academy Georgian
პროპორციული დამოკიდებულებები: შესავალი
Khan Academy Georgian
კუბური ფესვები: შესავალი
Khan Academy Georgian