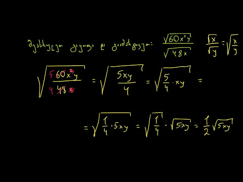
გაამარტივეთ შერეული ფესვის და ხარისხის შემცველი გამოსახულებები
ეს ვიდეო ხანის აკადემიაზე: https://ka.khanacademy.org/math/algeb... ინგლისური: https://www.khanacademy.org/math/alge... --- ხანის აკადემია გთავაზობთ პრაქტიკულ სავარჯიშოებს, ვიდეო ინსტრუქციებს და პერსონიფიცირებულ სასწავლო პლატფორმას, რაც მოსწავლეებს საშუალებას აძლევს ისწავლონ საკუთარ ტემპში საკლასო ოთახში და მის გარეთ. ჩვენთან შეგიძლიათ ისწავლოთ მათემატიკა, ზუსტი მეცნიერებები, პროგრამირება, ისტორია, ხელოვნების ისტორია, ეკონომიკა და ბევრი სხვა რამ. ჩვენი მათემათიკის პროგრამა საწყისი დონიდან კალკუსამდე მიგიყვანთ – თანამედროვე ადაპტური ტექნოლოგიის გამოყენებით, რომელიც განსაზღვრავს მოსწავლის ძლიერ და სუსტ მხარეებს. ჩვენ ასევე ვთანამშრომლობთ ისეთ ორგანიზაციებთან, როგორიცაა NASA, Pixar, თანამედროვე ხელოვნების მუზეუმი, მეცნიერებათა კალიფორნიული აკადემია და მასაჩუსეტსის ტექნოლოგიის ინსტიტუტი და შედეგად, გთავაზობთ მათ სპეციალიზირებულ რესურსებს. უფასოდ. ყველასთვის. ყოველთვის. გამოიწერე სიახლეები / @khanacademykartuli
Khan Academy Georgian-ის სხვა ვიდეოები
მაჩვენებლიანი კლების ფორმულის დამტკიცება (მოიცავს...
დამუშავებული მაგალითი: ფუნქციის არგუმენტის და შესა...
გაწარმოების ძირითადი წესები: ცხრილი
წარმოადგენს თუ არა განტოლება ფუნქციას: შემოწმება
შესამჩნევი ცივილიზაციები ჩვენს გალაქტიკაში 1
ამიდების მიღება DCC-ს მეშვეობით
გაყოფის წარმოდგენა თანრიგების და ფართობის მეშვეობი...
ელემენტთა მიმდევრობითი ჯამი: მე-n წევრის ფორმულა ე...
მსგავსი ვიდეოები
გაამარტივეთ ფესვის შემცველი გამოსახულებები: ორი ცვლადი
Khan Academy Georgian
გაამარტივეთ რთული წილადები
Khan Academy Georgian
Intervention du traducteur B. Chabradzé au Zoom Renaissance...
B. Chabradze ბაჩანა ჩაბრაძე
გაიმარტივეთ ყოველდღიურობა - სასარგებლო რჩევები
Ajara TV
გაიმარტივეთ ბინის შეძენის პროცესი!
კრედო ბანკი / Credo Bank
ლატლიიშდ - სვანი ქალების საწარმო უძველესი ტრადიციების შესანა...
Mtisambebi / მთის ამბები
ბაჟეს მომზადება ბლენდერში
მეგატექნიკა Megatechnica
როგორ დავაპატარავო ლინკები ზომაში #2
Video Lessons