GE Lot.ge
ვიდეოები შორთსები მთავარი

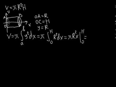
ბრუნვითი სხეულები: სფეროს მოცულობა

27.04.2013 04:28
M

math-physics school

არხი

YouTube

ბრუნვითი სხეულები სსიპ ბათუმის №6 ფიზიკა-მათემატიკის საჯარო სკოლა https://www.facebook.com/mathphysicsc...

გაზიარება:

math-physics school-ის სხვა ვიდეოები

BMNH-ის ამოცანები: ვექტორები 24:45

BMNH-ის ამოცანები: ვექტორები

ბრუნვითი სხეულები: სფეროს მოცულობა 04:28

ბრუნვითი სხეულები: სფეროს მოცულობა

BMNHის ამოცანები:ზღვარი 06:33

BMNHის ამოცანები:ზღვარი

გზები: ზღაპარი ცხრა წყაროს შესახებ 03:48

გზები: ზღაპარი ცხრა წყაროს შესახებ

ალგებრული გამოსახულების გამარტივება:1 01:06

ალგებრული გამოსახულების გამარტივება:1

ალგებრული გამოსახულების გამარტივება:2 02:05

ალგებრული გამოსახულების გამარტივება:2

ალგებრული ამოცანები (2) 09:46

ალგებრული ამოცანები (2)

მსგავსი ვიდეოები

ბრუნვითი სხეულები: ცილინდრის მოცულობა
03:24

ბრუნვითი სხეულები: ცილინდრის მოცულობა

math-physics school

ბრუნვითი სხეულები: კონუსის მოცულობა
04:11

ბრუნვითი სხეულები: კონუსის მოცულობა

math-physics school

წესიერი მრავალწახნაგები
08:59

წესიერი მრავალწახნაგები

math-physics school

ბრუნვითი უწყისი (ბუღალტერია - Apex ERP WEB)
03:28

ბრუნვითი უწყისი (ბუღალტერია - Apex ERP WEB)

შპს აპექსი - Apex LTD

IX კლასი. #3.2. დამატებითი მასალა. ანალოგია გადატანით და ბრუნვით მოძრაობებს შორის
43:49

IX კლასი. #3.2. დამატებითი მასალა. ანალოგია გადატანით და ბრუ...

physics.ge

მეათე მოწვევის პარლამენტის პირველი სხდომა
09:22

მეათე მოწვევის პარლამენტის პირველი სხდომა

პირველი არხი Georgian Public Broadcaster

blokis cexi - +90 544 747 74 63 - blokiscexi.com
02:37

blokis cexi - +90 544 747 74 63 - blokiscexi.com

MUSSAN Group - ბლოკის დანადგარები

blokis cexi - +90 544 747 74 63 - blokiscexi.com
00:51

blokis cexi - +90 544 747 74 63 - blokiscexi.com

MUSSAN Group - ბლოკის დანადგარები

ყველა ვიდეო
GE © 2025 Lot.ge