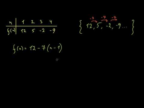
არითმეტიკული მიმდევრობის რეკურსიული ფორმულები
--- ხანის აკადემია გთავაზობთ პრაქტიკულ სავარჯიშოებს, ვიდეო ინსტრუქციებს და პერსონიფიცირებულ სასწავლო პლატფორმას, რაც მოსწავლეებს საშუალებას აძლევს ისწავლონ საკუთარ ტემპში საკლასო ოთახში და მის გარეთ. ჩვენთან შეგიძლიათ ისწავლოთ მათემატიკა, ზუსტი მეცნიერებები, პროგრამირება, ისტორია, ხელოვნების ისტორია, ეკონომიკა და ბევრი სხვა რამ. ჩვენი მათემათიკის პროგრამა საწყისი დონიდან კალკუსამდე მიგიყვანთ – თანამედროვე ადაპტური ტექნოლოგიის გამოყენებით, რომელიც განსაზღვრავს მოსწავლის ძლიერ და სუსტ მხარეებს. ჩვენ ასევე ვთანამშრომლობთ ისეთ ორგანიზაციებთან, როგორიცაა NASA, Pixar, თანამედროვე ხელოვნების მუზეუმი, მეცნიერებათა კალიფორნიული აკადემია და მასაჩუსეტსის ტექნოლოგიის ინსტიტუტი და შედეგად, გთავაზობთ მათ სპეციალიზირებულ რესურსებს. უფასოდ. ყველასთვის. ყოველთვის. გამოიწერე სიახლეები / @khanacademykartuli
Khan Academy Georgian-ის სხვა ვიდეოები
მაჩვენებლიანი კლების ფორმულის დამტკიცება (მოიცავს...
დამუშავებული მაგალითი: ფუნქციის არგუმენტის და შესა...
გაწარმოების ძირითადი წესები: ცხრილი
წარმოადგენს თუ არა განტოლება ფუნქციას: შემოწმება
შესამჩნევი ცივილიზაციები ჩვენს გალაქტიკაში 1
ამიდების მიღება DCC-ს მეშვეობით
გაყოფის წარმოდგენა თანრიგების და ფართობის მეშვეობი...
ელემენტთა მიმდევრობითი ჯამი: მე-n წევრის ფორმულა ე...
მსგავსი ვიდეოები
არითმეტიკული მიმდევრობის ზოგადი წევრის ფორმულები
Khan Academy Georgian
არითმეტიკული მიმდევრობის გადაყვანა რეკურსიულიდან ზოგადი წევრ...
Khan Academy Georgian
არითმეტიკული მიმდევრობის ფორმულების გამოყენება
Khan Academy Georgian
გაკვეთილი #19 მიმდევრობა: არითმეტიკული და გეომეტრიული პროგრე...
Innovation Online Project ინოვაციური ონლაინ პროექტი
მათემატიკა, IX კლასი - მიმდევრობა, არითმეტიკული პროგრესია #...
პირველი არხი #ტელესკოლა
მათემატიკა - რიცხვითი მიმდევრობა. არიტმეტიკული და გეომეტრიულ...
EL.Resources
არითმეტიკული პროგრესიის ფორმულა
Khan Academy Georgian
გურამ გოგიშვილი - არითმეტიკული ფუნქციები
Institute of Mathematics UG