კვადრატული ფესვები: შესავალი
ივარჯიშე ამაში ხანის აკადემიაზე: https://ka.khanacademy.org/math/cc-ei... უყურე შემდეგ გაკვეთილს: https://ka.khanacademy.org/math/cc-ei... ეს ვიდეო ხანის აკადემიაზე: https://ka.khanacademy.org/math/algeb... ინგლისური: Intro to square roots https://www.khanacademy.org/math/alge... წინა გაკვეთილი გამოტოვე? შეგიძლია აქ ნახო: https://ka.khanacademy.org/math/cc-ei... --- ხანის აკადემია გთავაზობთ პრაქტიკულ სავარჯიშოებს, ვიდეო ინსტრუქციებს და პერსონიფიცირებულ სასწავლო პლატფორმას, რაც მოსწავლეებს საშუალებას აძლევს ისწავლონ საკუთარ ტემპში საკლასო ოთახში და მის გარეთ. ჩვენთან შეგიძლიათ ისწავლოთ მათემატიკა, ზუსტი მეცნიერებები, პროგრამირება, ისტორია, ხელოვნების ისტორია, ეკონომიკა და ბევრი სხვა რამ. ჩვენი მათემათიკის პროგრამა საწყისი დონიდან კალკუსამდე მიგიყვანთ – თანამედროვე ადაპტური ტექნოლოგიის გამოყენებით, რომელიც განსაზღვრავს მოსწავლის ძლიერ და სუსტ მხარეებს. ჩვენ ასევე ვთანამშრომლობთ ისეთ ორგანიზაციებთან, როგორიცაა NASA, Pixar, თანამედროვე ხელოვნების მუზეუმი, მეცნიერებათა კალიფორნიული აკადემია და მასაჩუსეტსის ტექნოლოგიის ინსტიტუტი და შედეგად, გთავაზობთ მათ სპეციალიზირებულ რესურსებს. უფასოდ. ყველასთვის. ყოველთვის. გამოიწერე სიახლეები / @khanacademykartuli
Khan Academy Georgian-ის სხვა ვიდეოები
მაჩვენებლიანი კლების ფორმულის დამტკიცება (მოიცავს...
დამუშავებული მაგალითი: ფუნქციის არგუმენტის და შესა...
გაწარმოების ძირითადი წესები: ცხრილი
წარმოადგენს თუ არა განტოლება ფუნქციას: შემოწმება
შესამჩნევი ცივილიზაციები ჩვენს გალაქტიკაში 1
ამიდების მიღება DCC-ს მეშვეობით
გაყოფის წარმოდგენა თანრიგების და ფართობის მეშვეობი...
ელემენტთა მიმდევრობითი ჯამი: მე-n წევრის ფორმულა ე...
მსგავსი ვიდეოები
კვადრატული ფესვები და ნამდვილი რიცხვები
Khan Academy Georgian
მტკიცება: მარტივი რიცხვების კვადრატული ფესვები არის ირაციონა...
Khan Academy Georgian
კვადრატული განტოლებების ამოხსნა: კომპლექსური ფესვები
Khan Academy Georgian
Дом Князей. Продается квартира в Батуми. 120кв.м.+130 кв.м.
не Бла- Бла
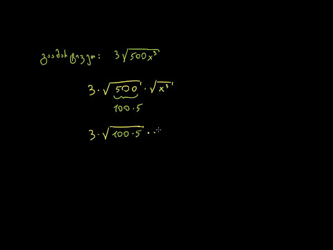
კვადრატული ფესვების გამარტივება
Khan Academy Georgian
კვადრატული ფესვების გამარტივება (ცვლადები)
Khan Academy Georgian
წილადების კვადრატული ფესვების გამარტივება
Khan Academy Georgian
დაყვანილი სახის კვადრატული განტოლების შედგენა მოცემული ფესვე...
math-physics school