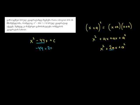
სრული კვადრატის მამრავლებად დაშლა: საერთო მამრავლი
ივარჯიშე ამაში ხანის აკადემიაზე: https://ka.khanacademy.org/math/algeb... უყურე შემდეგ გაკვეთილს: https://ka.khanacademy.org/math/algeb... ეს ვიდეო ხანის აკადემიაზე: https://ka.khanacademy.org/math/algeb... ინგლისური: Factoring perfect squares: common factor https://www.khanacademy.org/math/alge... წინა გაკვეთილი გამოტოვე? შეგიძლია აქ ნახო: https://ka.khanacademy.org/math/algeb... --- ხანის აკადემია გთავაზობთ პრაქტიკულ სავარჯიშოებს, ვიდეო ინსტრუქციებს და პერსონიფიცირებულ სასწავლო პლატფორმას, რაც მოსწავლეებს საშუალებას აძლევს ისწავლონ საკუთარ ტემპში საკლასო ოთახში და მის გარეთ. ჩვენთან შეგიძლიათ ისწავლოთ მათემატიკა, ზუსტი მეცნიერებები, პროგრამირება, ისტორია, ხელოვნების ისტორია, ეკონომიკა და ბევრი სხვა რამ. ჩვენი მათემათიკის პროგრამა საწყისი დონიდან კალკუსამდე მიგიყვანთ – თანამედროვე ადაპტური ტექნოლოგიის გამოყენებით, რომელიც განსაზღვრავს მოსწავლის ძლიერ და სუსტ მხარეებს. ჩვენ ასევე ვთანამშრომლობთ ისეთ ორგანიზაციებთან, როგორიცაა NASA, Pixar, თანამედროვე ხელოვნების მუზეუმი, მეცნიერებათა კალიფორნიული აკადემია და მასაჩუსეტსის ტექნოლოგიის ინსტიტუტი და შედეგად, გთავაზობთ მათ სპეციალიზირებულ რესურსებს. უფასოდ. ყველასთვის. ყოველთვის. გამოიწერე სიახლეები / @khanacademykartuli
Khan Academy Georgian-ის სხვა ვიდეოები
მაჩვენებლიანი კლების ფორმულის დამტკიცება (მოიცავს...
დამუშავებული მაგალითი: ფუნქციის არგუმენტის და შესა...
გაწარმოების ძირითადი წესები: ცხრილი
წარმოადგენს თუ არა განტოლება ფუნქციას: შემოწმება
შესამჩნევი ცივილიზაციები ჩვენს გალაქტიკაში 1
ამიდების მიღება DCC-ს მეშვეობით
გაყოფის წარმოდგენა თანრიგების და ფართობის მეშვეობი...
ელემენტთა მიმდევრობითი ჯამი: მე-n წევრის ფორმულა ე...
მსგავსი ვიდეოები
სრული კვადრატის მამრავლებად დაშლა: საზიარო მამრავლები
Khan Academy Georgian
სრული კვადრატის მამრავლებად დაშლა: მე-4 ხარისხის მრავალწევრი
Khan Academy Georgian
სრული კვადრატის მამრავლებად დაშლა. შესავალი
Khan Academy Georgian
სრული კვადრატის პოვნა
Khan Academy Georgian
სამწევრების სრული კვადრატის დაშლა
Khan Academy Georgian
კვადრატული განტოლებებიდან სრული კვადრატის გამოყოფა (მაგალითი...
Khan Academy Georgian
7. სრული კვადრატის გამოყოფა
Sophio Maghradze
კონსტრუქტ2-ის მმართველი პარტნიორები სტუმრად BMG-სთან
College Construct2