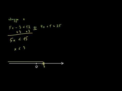
ამონახსნის არმქონე განტოლების შედგენა
ეს ვიდეო ხანის აკადემიაზე: https://ka.khanacademy.org/math/algeb... ინგლისური: https://www.khanacademy.org/math/alge... --- ხანის აკადემია გთავაზობთ პრაქტიკულ სავარჯიშოებს, ვიდეო ინსტრუქციებს და პერსონიფიცირებულ სასწავლო პლატფორმას, რაც მოსწავლეებს საშუალებას აძლევს ისწავლონ საკუთარ ტემპში საკლასო ოთახში და მის გარეთ. ჩვენთან შეგიძლიათ ისწავლოთ მათემატიკა, ზუსტი მეცნიერებები, პროგრამირება, ისტორია, ხელოვნების ისტორია, ეკონომიკა და ბევრი სხვა რამ. ჩვენი მათემათიკის პროგრამა საწყისი დონიდან კალკუსამდე მიგიყვანთ – თანამედროვე ადაპტური ტექნოლოგიის გამოყენებით, რომელიც განსაზღვრავს მოსწავლის ძლიერ და სუსტ მხარეებს. ჩვენ ასევე ვთანამშრომლობთ ისეთ ორგანიზაციებთან, როგორიცაა NASA, Pixar, თანამედროვე ხელოვნების მუზეუმი, მეცნიერებათა კალიფორნიული აკადემია და მასაჩუსეტსის ტექნოლოგიის ინსტიტუტი და შედეგად, გთავაზობთ მათ სპეციალიზირებულ რესურსებს. უფასოდ. ყველასთვის. ყოველთვის. გამოიწერე სიახლეები / @khanacademykartuli
Khan Academy Georgian-ის სხვა ვიდეოები
მაჩვენებლიანი კლების ფორმულის დამტკიცება (მოიცავს...
დამუშავებული მაგალითი: ფუნქციის არგუმენტის და შესა...
გაწარმოების ძირითადი წესები: ცხრილი
წარმოადგენს თუ არა განტოლება ფუნქციას: შემოწმება
შესამჩნევი ცივილიზაციები ჩვენს გალაქტიკაში 1
ამიდების მიღება DCC-ს მეშვეობით
გაყოფის წარმოდგენა თანრიგების და ფართობის მეშვეობი...
ელემენტთა მიმდევრობითი ჯამი: მე-n წევრის ფორმულა ე...
მსგავსი ვიდეოები
უამრავი ამონახსნის მქონე განტოლების შედგენა
Khan Academy Georgian
სხვადასხვა რაოდენობის ამონახსნის მქონე განტოლებათა სისტემის...
Khan Academy Georgian
რთული უტოლობა ამონახსნის გარეშე
Khan Academy Georgian
დამუშავებული მაგალითი: განცალებადცვლადიანი განტოლებების კონკ...
Khan Academy Georgian
კვადრატული განტოლებების ამოხსნა კვადრატის დასრულების საშუალე...
Khan Academy Georgian
რეკურენციის ამოხსნის მაგალითი [სიგნალების დამუშავება I]
Tornike Onoprishvili
ამონახსნი წირების მიახლოებითი დადგენა მიმართულებათა ველებში
Khan Academy Georgian
რამდენი ამონახსნი აქვს წრფივი განტოლებების სისტემას, თუ ვიცი...
Khan Academy Georgian