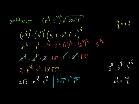
ხარისხი, ხარისხის შემცველი გამოსახულების გამოთვლა, დიდი რიცხვების ხარისხის სახით ჩაწერა
17.05.2021
34:26
მსგავსი ვიდეოები
n ური ხარისხის ფესვი. ფესვის შემცველი გამოსახულების გარდაქმნ...
Silk School
ხარისხი მთელი მაჩვენებლით | რიცხვითი გამოსახულებანი | ცვლადი...
Nukri Tskvitaia
რაციონალური ხარისხის შემცველი გამოსახულებების გამარტივება: შ...
Khan Academy Georgian
გაამარტივეთ შერეული ფესვის და ხარისხის შემცველი გამოსახულებე...
Khan Academy Georgian
ნანომეტალების შემცველი გრაფენის ოქსიდის კომპოზიტების ნიმუშის...
Eurachem
ზედამხედველობის შესახებ კანონმდებლობა ევროსტანდარტებს დაუახლ...
პირველი არხი Georgian Public Broadcaster
მაცივარი LG GR-B260VP ფრეონის გაჟონვა ფილტრზე
მაცივრის- მასტერი
CODIORGAN A50 ბიო-სტიმულატორი
AGRO TV