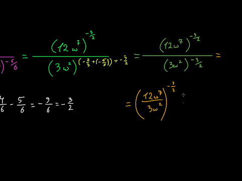
წილადის შემცველი ხარისხების გამოთვლა: წილადი ფუძეში
ეს ვიდეო ხანის აკადემიაზე: https://ka.khanacademy.org/math/algeb... ინგლისური: Evaluating fractional exponents: fractional base https://www.khanacademy.org/math/alge... --- ხანის აკადემია გთავაზობთ პრაქტიკულ სავარჯიშოებს, ვიდეო ინსტრუქციებს და პერსონიფიცირებულ სასწავლო პლატფორმას, რაც მოსწავლეებს საშუალებას აძლევს ისწავლონ საკუთარ ტემპში საკლასო ოთახში და მის გარეთ. ჩვენთან შეგიძლიათ ისწავლოთ მათემატიკა, ზუსტი მეცნიერებები, პროგრამირება, ისტორია, ხელოვნების ისტორია, ეკონომიკა და ბევრი სხვა რამ. ჩვენი მათემათიკის პროგრამა საწყისი დონიდან კალკუსამდე მიგიყვანთ – თანამედროვე ადაპტური ტექნოლოგიის გამოყენებით, რომელიც განსაზღვრავს მოსწავლის ძლიერ და სუსტ მხარეებს. ჩვენ ასევე ვთანამშრომლობთ ისეთ ორგანიზაციებთან, როგორიცაა NASA, Pixar, თანამედროვე ხელოვნების მუზეუმი, მეცნიერებათა კალიფორნიული აკადემია და მასაჩუსეტსის ტექნოლოგიის ინსტიტუტი და შედეგად, გთავაზობთ მათ სპეციალიზირებულ რესურსებს. უფასოდ. ყველასთვის. ყოველთვის. გამოიწერე სიახლეები / @khanacademykartuli
Khan Academy Georgian-ის სხვა ვიდეოები
მაჩვენებლიანი კლების ფორმულის დამტკიცება (მოიცავს...
დამუშავებული მაგალითი: ფუნქციის არგუმენტის და შესა...
გაწარმოების ძირითადი წესები: ცხრილი
წარმოადგენს თუ არა განტოლება ფუნქციას: შემოწმება
შესამჩნევი ცივილიზაციები ჩვენს გალაქტიკაში 1
ამიდების მიღება DCC-ს მეშვეობით
გაყოფის წარმოდგენა თანრიგების და ფართობის მეშვეობი...
ელემენტთა მიმდევრობითი ჯამი: მე-n წევრის ფორმულა ე...
მსგავსი ვიდეოები
წილადის შემცველი ხარისხების გამოთვლა: უარყოფითი წილადი (მრიც...
Khan Academy Georgian
წილადის შემცველი ხარისხების გამოთვლა
Khan Academy Georgian
რთული გამოსახულების წილადის შემცველი ხარისხებით ჩანაცვლება
Khan Academy Georgian
წილადის ჩაწერა ათწილადის სახით
Silk School
წილადის ნაწილებად დაშლა
Khan Academy Georgian
წილადის ათწილადის სახით ჩაწერა: 3/5
Khan Academy Georgian
წილადის ათწილადის სახით ჩაწერა: 3/5
Khan Academy Georgian
წილადის მთელ რიცხვზე გაყოფა
Khan Academy Georgian