მოდულიანი ფუნქციების გრაფიკები: შესავალი
ივარჯიშე ამაში ხანის აკადემიაზე: https://ka.khanacademy.org/math/algeb... უყურე შემდეგ გაკვეთილს: https://ka.khanacademy.org/math/algeb... ეს ვიდეო ხანის აკადემიაზე: https://ka.khanacademy.org/math/algeb... ინგლისური: Intro to graphs of absolute value functions https://www.khanacademy.org/math/alge... წინა გაკვეთილი გამოტოვე? შეგიძლია აქ ნახო: https://ka.khanacademy.org/math/algeb... --- ხანის აკადემია გთავაზობთ პრაქტიკულ სავარჯიშოებს, ვიდეო ინსტრუქციებს და პერსონიფიცირებულ სასწავლო პლატფორმას, რაც მოსწავლეებს საშუალებას აძლევს ისწავლონ საკუთარ ტემპში საკლასო ოთახში და მის გარეთ. ჩვენთან შეგიძლიათ ისწავლოთ მათემატიკა, ზუსტი მეცნიერებები, პროგრამირება, ისტორია, ხელოვნების ისტორია, ეკონომიკა და ბევრი სხვა რამ. ჩვენი მათემათიკის პროგრამა საწყისი დონიდან კალკუსამდე მიგიყვანთ – თანამედროვე ადაპტური ტექნოლოგიის გამოყენებით, რომელიც განსაზღვრავს მოსწავლის ძლიერ და სუსტ მხარეებს. ჩვენ ასევე ვთანამშრომლობთ ისეთ ორგანიზაციებთან, როგორიცაა NASA, Pixar, თანამედროვე ხელოვნების მუზეუმი, მეცნიერებათა კალიფორნიული აკადემია და მასაჩუსეტსის ტექნოლოგიის ინსტიტუტი და შედეგად, გთავაზობთ მათ სპეციალიზირებულ რესურსებს. უფასოდ. ყველასთვის. ყოველთვის. გამოიწერე სიახლეები / @khanacademykartuli
Khan Academy Georgian-ის სხვა ვიდეოები
მაჩვენებლიანი კლების ფორმულის დამტკიცება (მოიცავს...
დამუშავებული მაგალითი: ფუნქციის არგუმენტის და შესა...
გაწარმოების ძირითადი წესები: ცხრილი
წარმოადგენს თუ არა განტოლება ფუნქციას: შემოწმება
შესამჩნევი ცივილიზაციები ჩვენს გალაქტიკაში 1
ამიდების მიღება DCC-ს მეშვეობით
გაყოფის წარმოდგენა თანრიგების და ფართობის მეშვეობი...
ელემენტთა მიმდევრობითი ჯამი: მე-n წევრის ფორმულა ე...
მსგავსი ვიდეოები
მოდულიანი ფუნქციების გრაფიკების წანაცვლება
Khan Academy Georgian
მოდულიანი ფუნქციების გრაფიკების აგება
Khan Academy Georgian
დამუშავებული მაგალითი: მოდულიანი ფუნქციების გრაფიკების აგება
Khan Academy Georgian
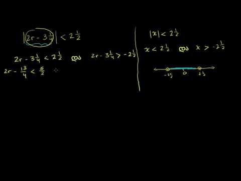
მოდულიანი უტოლობები 2
Khan Academy Georgian
მოდულიანი უტოლობების ამოხსნა: ამონახსნი არაა
Khan Academy Georgian
მოდულიანი უტოლობების ამოხსნა 1
Khan Academy Georgian
მოდულიანი განტოლება | მაგალითი 2
Khan Academy Georgian
27 მოდულიანი უტოლობა
Shotiko Mindiashvili