GE Lot.ge
ვიდეოები შორთსები მთავარი

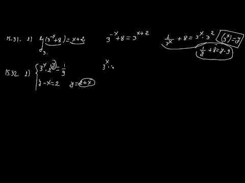
მაჩვენებლიანი და ლოგარითმული განტოლება (8)

08.12.2014 10:57
M

math-physics school

არხი

YouTube
გაზიარება:

math-physics school-ის სხვა ვიდეოები

BMNH-ის ამოცანები: ვექტორები 24:45

BMNH-ის ამოცანები: ვექტორები

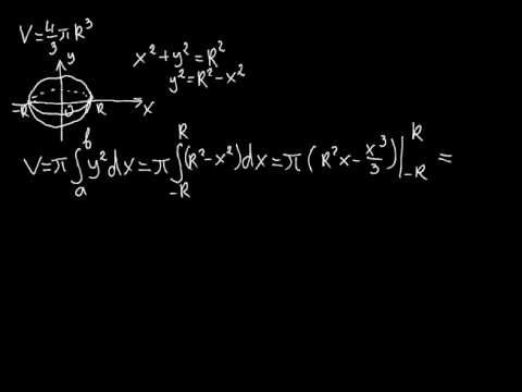
ბრუნვითი სხეულები: სფეროს მოცულობა 04:28

ბრუნვითი სხეულები: სფეროს მოცულობა

BMNHის ამოცანები:ზღვარი 06:33

BMNHის ამოცანები:ზღვარი

გზები: ზღაპარი ცხრა წყაროს შესახებ 03:48

გზები: ზღაპარი ცხრა წყაროს შესახებ

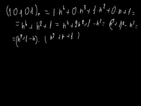
ალგებრული გამოსახულების გამარტივება:1 01:06

ალგებრული გამოსახულების გამარტივება:1

ალგებრული გამოსახულების გამარტივება:2 02:05

ალგებრული გამოსახულების გამარტივება:2

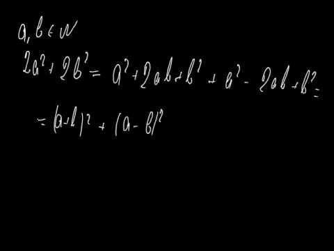
ალგებრული ამოცანები (2) 09:46

ალგებრული ამოცანები (2)

მსგავსი ვიდეოები

მაჩვენებლიანი და ლოგარითმული განტოლება (22)
08:52

მაჩვენებლიანი და ლოგარითმული განტოლება (22)

math-physics school

მაჩვენებლიანი და ლოგარითმული განტოლება (12)
04:46

მაჩვენებლიანი და ლოგარითმული განტოლება (12)

math-physics school

მაჩვენებლიანი და ლოგარითმული განტოლება (13)
03:57

მაჩვენებლიანი და ლოგარითმული განტოლება (13)

math-physics school

მაჩვენებლიანი და ლოგარითმული განტოლება (7)
08:30

მაჩვენებლიანი და ლოგარითმული განტოლება (7)

math-physics school

მაჩვენებლიანი და ლოგარითმული განტოლება (2)
05:06

მაჩვენებლიანი და ლოგარითმული განტოლება (2)

math-physics school

მაჩვენებლიანი და ლოგარითმული განტოლება (10)
14:20

მაჩვენებლიანი და ლოგარითმული განტოლება (10)

math-physics school

მაჩვენებლიანი და ლოგარითმული განტოლება (5)
19:27

მაჩვენებლიანი და ლოგარითმული განტოლება (5)

math-physics school

მაჩვენებლიანი და ლოგარითმული განტოლება (24)
05:10

მაჩვენებლიანი და ლოგარითმული განტოლება (24)

math-physics school

ყველა ვიდეო
GE © 2025 Lot.ge