ეილერის ფუნქცია (ტოტიენტი)
ეს ვიდეო ხანის აკადემიაზე: https://ka.khanacademy.org/computing/... ინგლისური: https://www.khanacademy.org/computing... ხანის აკადემია გთავაზობთ პრაქტიკულ სავარჯიშოებს, ვიდეო ინსტრუქციებს და პერსონიფიცირებულ სასწავლო პლატფორმას, რაც მოსწავლეებს საშუალებას აძლევს ისწავლონ საკუთარ ტემპში საკლასო ოთახში და მის გარეთ (ეწვიეთ საიტს http://ka.khanacademy.org/). ჩვენთან შეგიძლიათ ისწავლოთ მათემატიკა, ზუსტი მეცნიერებები, პროგრამირება, ისტორია, ხელოვნების ისტორია, ეკონომიკა და ბევრი სხვა რამ. ჩვენი მათემათიკის პროგრამა საწყისი დონიდან კალკუსამდე მიგიყვანთ – თანამედროვე ადაპტური ტექნოლოგიის გამოყენებით, რომელიც განსაზღვრავს მოსწავლის ძლიერ და სუსტ მხარეებს. ჩვენ ასევე ვთანამშრომლობთ ისეთ ორგანიზაციებთან, როგორიცაა NASA, Pixar, თანამედროვე ხელოვნების მუზეუმი, მეცნიერებათა კალიფორნიული აკადემია და მასაჩუსეტსის ტექნოლოგიის ინსტიტუტი და შედეგად, გთავაზობთ მათ სპეციალიზირებულ რესურსებს. უფასოდ. ყველასთვის. ყოველთვის. გამოიწერე სიახლეები / @khanacademykartuli
Khan Academy Georgian-ის სხვა ვიდეოები
მაჩვენებლიანი კლების ფორმულის დამტკიცება (მოიცავს...
დამუშავებული მაგალითი: ფუნქციის არგუმენტის და შესა...
გაწარმოების ძირითადი წესები: ცხრილი
წარმოადგენს თუ არა განტოლება ფუნქციას: შემოწმება
შესამჩნევი ცივილიზაციები ჩვენს გალაქტიკაში 1
ამიდების მიღება DCC-ს მეშვეობით
გაყოფის წარმოდგენა თანრიგების და ფართობის მეშვეობი...
ელემენტთა მიმდევრობითი ჯამი: მე-n წევრის ფორმულა ე...
მსგავსი ვიდეოები
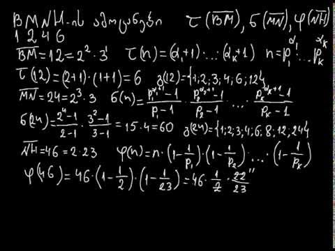
BMNH-ის ამოცანები: გამყოფები, ეილერის ფუნქცია
math-physics school
ეილერის მეთოდი
Khan Academy Georgian
ეილერის წრფის დამტკიცება
Khan Academy Georgian
ეილერის რიცხვი
Soso Tsotniashvili
სივრცული ფიგურები ეილერის ფორმულა
Silk School
მათემატიკის დრო - IV დონე, VII-VIII კლასები - ამოცანები გრაფ...
პირველი არხი #ტელესკოლა
თორნიკე ქადეიშვილი - ტოპოლოგია-ახალი გეომეტრია
Institute of Mathematics UG
ეკლერის და შუს საუკეთესო რეცეპტი | LETSCOOK.GE
LetsCookGe