GE Lot.ge
ვიდეოები შორთსები მთავარი

კვადრატული განტოლების ფორმულა

16.01.2017 13:45
K

Khan Academy Georgian

არხი

YouTube

The quadratic formula - https://www.khanacademy.org/math/alge...

გაზიარება:

Khan Academy Georgian-ის სხვა ვიდეოები

მაჩვენებლიანი კლების ფორმულის დამტკიცება (მოიცავს კალკულუსს, შეგიძლიათ, გადაახტეთ)

მაჩვენებლიანი კლების ფორმულის დამტკიცება (მოიცავს...

დამუშავებული მაგალითი: ფუნქციის არგუმენტის და შესაბამის მნიშვნელობასთან დაკავშირება (განტოლება)

დამუშავებული მაგალითი: ფუნქციის არგუმენტის და შესა...

გაწარმოების ძირითადი წესები: ცხრილი

გაწარმოების ძირითადი წესები: ცხრილი

წარმოადგენს თუ არა განტოლება ფუნქციას: შემოწმება

წარმოადგენს თუ არა განტოლება ფუნქციას: შემოწმება

შესამჩნევი ცივილიზაციები ჩვენს გალაქტიკაში 1

შესამჩნევი ცივილიზაციები ჩვენს გალაქტიკაში 1

ამიდების მიღება DCC-ს მეშვეობით

ამიდების მიღება DCC-ს მეშვეობით

გაყოფის წარმოდგენა თანრიგების და ფართობის მეშვეობით

გაყოფის წარმოდგენა თანრიგების და ფართობის მეშვეობი...

ელემენტთა მიმდევრობითი ჯამი: მე-n წევრის ფორმულა ელემენტთა მიმდევრობითი ჯამის მეშვეობით

ელემენტთა მიმდევრობითი ჯამი: მე-n წევრის ფორმულა ე...

მსგავსი ვიდეოები

დამუშავებული მაგალითი: კვადრატული განტოლების ფორმულა (უარყოფითი კოეფიციენტები)
04:28

დამუშავებული მაგალითი: კვადრატული განტოლების ფორმულა (უარყოფ...

Khan Academy Georgian

დამუშავებული მაგალითი: კვადრატული განტოლების ფორმულა (მაგალითი 2)
04:55

დამუშავებული მაგალითი: კვადრატული განტოლების ფორმულა (მაგალი...

Khan Academy Georgian

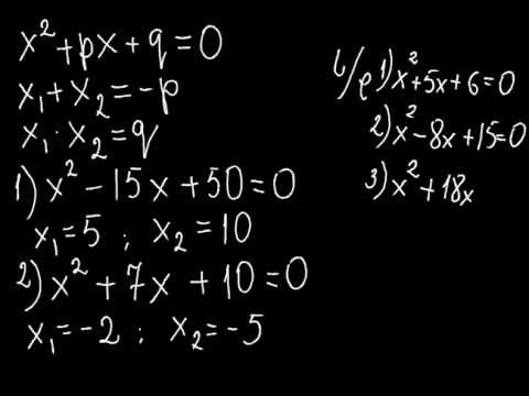
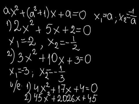
კვადრატული განტოლება, ვიეტის ფორმულები, კვადრატული სამწავრის მამრავლებად დაშლა.
10:56

კვადრატული განტოლება, ვიეტის ფორმულები, კვადრატული სამწავრის...

Vakhtangi Jaoshvili

კვადრატული განტოლების ამოხსნის მეთოდი:7
03:20

კვადრატული განტოლების ამოხსნის მეთოდი:7

math-physics school

კვადრატული განტოლების ამოხსნის მეთოდი:1
05:34

კვადრატული განტოლების ამოხსნის მეთოდი:1

math-physics school

კვადრატული განტოლების ამოხსნის მეთოდი:3
03:44

კვადრატული განტოლების ამოხსნის მეთოდი:3

math-physics school

კვადრატული განტოლების ამოხსნის მეთოდი:6
02:55

კვადრატული განტოლების ამოხსნის მეთოდი:6

math-physics school

კვადრატული განტოლების ამოხსნის მეთოდი:4
03:47

კვადრატული განტოლების ამოხსნის მეთოდი:4

math-physics school

ყველა ვიდეო
GE © 2025 Lot.ge