Rioni.TV-ის სხვა ვიდეოები
პირველი ეროვნული გვარდიის შენაერთის „ქართველ შევა...
რიონის ხეობის მცველი მარიტა მუსელიანი პროტესტს სხვ...
ქუთაისის მთავარი ფინანსური დოკუმენტის ერთერთ პრიორ...
თებერვლიდან, სამედიცინო პერსონალის გარდა, უსიმპტო...
00:57
დღეს სამ საათზე ტელეკომპანია,,რიონი,, შეუერთდა რეგ...
02:03
საბჭოს მიმდინარეობისას გამოიკვეთა საკითხი სოციალურ...
01:47
აშშ-ს ეკრძალება მხარი დაუჭიროს ქვეყანას რომელიც აფ...
03:34
გაუქმდება თუ არა 2020 წლის საპარლამენტო არჩევნების...
მსგავსი ვიდეოები
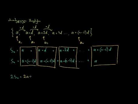
სასრული არითმეტიკული პროგრესიის ფორმულის დამტკიცება
Khan Academy Georgian
სასრული არითმეტიკული პროგრესიის ფორმულის დამტკიცება
Khan Academy Georgian
სასრული არითმეტიკული პროგრესიის ფორმულის დამტკიცება ინდუქციი...
Khan Academy Georgian
არითმეტიკული პროგრესიის ფორმულა
Khan Academy Georgian
გეომეტრიული პროგრესიის ზოგადი წევრის ფორმულისა და რეკურსიული...
Khan Academy Georgian
გეომეტრიული პროგრესიის ზოგადი წევრისა და რეკურსიული ფორმულებ...
Khan Academy Georgian
როგორ იყენებენ მასწავლებლები ხანის აკადემიას? 8 მაგალითი
Khan Academy Georgian
„სფერო ჰოლდინგის“ მთავარმა იურისტმა, ნანო ცხადაიამ სკოლა „სხ...
Sfero Holding