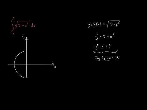
განსაზღვრული ინტეგრალი, როგორც ჯამური ცვლილება
ეს ვიდეო ხანის აკადემიაზე: https://ka.khanacademy.org/math/integ... ინგლისური: https://www.khanacademy.org/math/inte... ხანის აკადემია გთავაზობთ პრაქტიკულ სავარჯიშოებს, ვიდეო ინსტრუქციებს და პერსონიფიცირებულ სასწავლო პლატფორმას, რაც მოსწავლეებს საშუალებას აძლევს ისწავლონ საკუთარ ტემპში საკლასო ოთახში და მის გარეთ. ჩვენთან შეგიძლიათ ისწავლოთ მათემატიკა, ზუსტი მეცნიერებები, პროგრამირება, ისტორია, ხელოვნების ისტორია, ეკონომიკა და ბევრი სხვა რამ. ჩვენი მათემათიკის პროგრამა საწყისი დონიდან კალკუსამდე მიგიყვანთ – თანამედროვე ადაპტური ტექნოლოგიის გამოყენებით, რომელიც განსაზღვრავს მოსწავლის ძლიერ და სუსტ მხარეებს. ჩვენ ასევე ვთანამშრომლობთ ისეთ ორგანიზაციებთან, როგორიცაა NASA, Pixar, თანამედროვე ხელოვნების მუზეუმი, მეცნიერებათა კალიფორნიული აკადემია და მასაჩუსეტსის ტექნოლოგიის ინსტიტუტი და შედეგად, გთავაზობთ მათ სპეციალიზირებულ რესურსებს. უფასოდ. ყველასთვის. ყოველთვის. გამოიწერე სიახლეები / @khanacademykartuli
Khan Academy Georgian-ის სხვა ვიდეოები
მაჩვენებლიანი კლების ფორმულის დამტკიცება (მოიცავს...
დამუშავებული მაგალითი: ფუნქციის არგუმენტის და შესა...
გაწარმოების ძირითადი წესები: ცხრილი
წარმოადგენს თუ არა განტოლება ფუნქციას: შემოწმება
შესამჩნევი ცივილიზაციები ჩვენს გალაქტიკაში 1
ამიდების მიღება DCC-ს მეშვეობით
გაყოფის წარმოდგენა თანრიგების და ფართობის მეშვეობი...
ელემენტთა მიმდევრობითი ჯამი: მე-n წევრის ფორმულა ე...
მსგავსი ვიდეოები
განსაზღვრული ინტეგრალი, როგორც რიმანის ჯამის ზღვარი
Khan Academy Georgian
ტრიგონომეტრიული ფუნქციის განსაზღვრული ინტეგრალი
Khan Academy Georgian
ნატურალური ლოგარითმის შემცველი განსაზღვრული ინტეგრალი
Khan Academy Georgian
აბსოლუტური მნიშვნელობის ფუნქციის განსაზღვრული ინტეგრალი
Khan Academy Georgian
უბან-უბან ფუნქციის განსაზღვრული ინტეგრალი
Khan Academy Georgian
დამუშავებული მაგალითი: განსაზღვრული ინტეგრალი ფუნქციის გრაფი...
Khan Academy Georgian
ფესვქვეშა ფუნქციის განსაზღვრული ინტეგრალი
Khan Academy Georgian
განსაზღვრული ინტეგრალის საზღვრების გაცვლა
Khan Academy Georgian