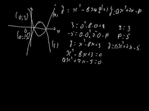
პარაბოლას ფოკუსი და დირექტრიქსი განტოლების მიხედვით
ეს ვიდეო ხანის აკადემიაზე: https://ka.khanacademy.org/math/algeb... ინგლისური: - https://www.khanacademy.org/math/alge... --- ხანის აკადემია გთავაზობთ პრაქტიკულ სავარჯიშოებს, ვიდეო ინსტრუქციებს და პერსონიფიცირებულ სასწავლო პლატფორმას, რაც მოსწავლეებს საშუალებას აძლევს ისწავლონ საკუთარ ტემპში საკლასო ოთახში და მის გარეთ. ჩვენთან შეგიძლიათ ისწავლოთ მათემატიკა, ზუსტი მეცნიერებები, პროგრამირება, ისტორია, ხელოვნების ისტორია, ეკონომიკა და ბევრი სხვა რამ. ჩვენი მათემათიკის პროგრამა საწყისი დონიდან კალკუსამდე მიგიყვანთ – თანამედროვე ადაპტური ტექნოლოგიის გამოყენებით, რომელიც განსაზღვრავს მოსწავლის ძლიერ და სუსტ მხარეებს. ჩვენ ასევე ვთანამშრომლობთ ისეთ ორგანიზაციებთან, როგორიცაა NASA, Pixar, თანამედროვე ხელოვნების მუზეუმი, მეცნიერებათა კალიფორნიული აკადემია და მასაჩუსეტსის ტექნოლოგიის ინსტიტუტი და შედეგად, გთავაზობთ მათ სპეციალიზირებულ რესურსებს. უფასოდ. ყველასთვის. ყოველთვის. გამოიწერე სიახლეები / @khanacademykartuli
Khan Academy Georgian-ის სხვა ვიდეოები
მაჩვენებლიანი კლების ფორმულის დამტკიცება (მოიცავს...
დამუშავებული მაგალითი: ფუნქციის არგუმენტის და შესა...
გაწარმოების ძირითადი წესები: ცხრილი
წარმოადგენს თუ არა განტოლება ფუნქციას: შემოწმება
შესამჩნევი ცივილიზაციები ჩვენს გალაქტიკაში 1
ამიდების მიღება DCC-ს მეშვეობით
გაყოფის წარმოდგენა თანრიგების და ფართობის მეშვეობი...
ელემენტთა მიმდევრობითი ჯამი: მე-n წევრის ფორმულა ე...
მსგავსი ვიდეოები
პარაბოლას განტოლება ფოკუსის და დირექტრისას მიხედვით
Khan Academy Georgian
პარაბოლას აგება შესავალი
Khan Academy Georgian
პარაბოლას გარდაქმნა: შესავალი
Khan Academy Georgian
სტანდარტული ფორმით მოცემული პარაბოლას წვეროს პოვნა
Khan Academy Georgian
სტანდარტული ფორმით მოცემული პარაბოლას წვეროს პოვნა
Khan Academy Georgian
პარაბოლის პარამეტრების დადგენა
math-physics school
კვადრატული ფნქცია, პარაბოლა, კვადრატული უტოლობის ამოხსნა.
Vakhtangi Jaoshvili