GE Lot.ge
ვიდეოები შორთსები მთავარი

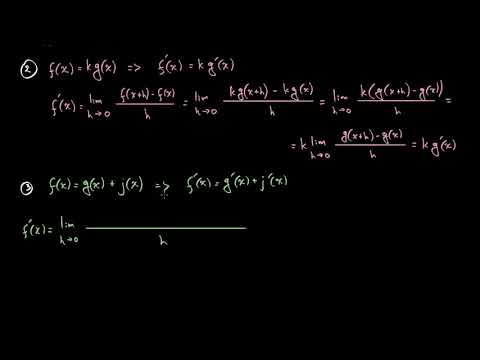
გაწარმოების მეთოდი (implicit differentiation)

23.12.2020 03:24
A

Akaki Chkhaidze

არხი

YouTube

Facebook -   / ako.chkhaidze.5   IG -   / akochkhaidze

გაზიარება:

Akaki Chkhaidze-ის სხვა ვიდეოები

გრავიტაციული ძალა სფეროსა და წერტილოვან მასას შორის. 08:36

გრავიტაციული ძალა სფეროსა და წერტილოვან მასას შორი...

რთული ტრიგონომეტრიული ფუნქციების წარმოებულები |1| 04:06

რთული ტრიგონომეტრიული ფუნქციების წარმოებულები |1|

ფუნქციის წარმოებული განმარტების თანახმად 04:55

ფუნქციის წარმოებული განმარტების თანახმად

ჰარმონიული მოძრაობის დიფერენციალური განტოლება და y=tan x წარმოებული (3 რიგის) 05:46

ჰარმონიული მოძრაობის დიფერენციალური განტოლება და y...

ინტეგრალი ( შესავალი) 07:27

ინტეგრალი ( შესავალი)

არაცხადი გაწარმოება (მაგალითები) 03:54

არაცხადი გაწარმოება (მაგალითები)

ინტეგრალი | U აღნიშვნის გამოყენებით (ნაწილი 3) 03:46

ინტეგრალი | U აღნიშვნის გამოყენებით (ნაწილი 3)

SkillHub

მსგავსი ვიდეოები

ვენახი სათბურში - იმერელი ფერმერის ინოვაციური ბიზნესწამოწყება

ვენახი სათბურში - იმერელი ფერმერის ინოვაციური ბიზნესწამოწყებ...

R-CSN Georgia

გაწარმოების ძირითადი წესები: ცხრილი

გაწარმოების ძირითადი წესები: ცხრილი

Khan Academy Georgian

გაწარმოების ძირითადი წესები
05:36

გაწარმოების ძირითადი წესები

Khan Academy Georgian

გაწარმოების ძირითადი წესები (ნაწილი 1)
02:12

გაწარმოების ძირითადი წესები (ნაწილი 1)

Khan Academy Georgian

საწარმოების დაფინანსების პროექტი
04:12

საწარმოების დაფინანსების პროექტი

პირველი არხი Georgian Public Broadcaster

ნაწარმოების კომპოზიცია და მხატვრული ანალიზის საკითხები
21:51

ნაწარმოების კომპოზიცია და მხატვრული ანალიზის საკითხები

Silk School

საწარმოების მუშაობა შეზღუდვების პირობებში
04:40

საწარმოების მუშაობა შეზღუდვების პირობებში

პირველი არხი Georgian Public Broadcaster

საწარმოების მუშაობა საგანგებო ვითარებაში
03:07

საწარმოების მუშაობა საგანგებო ვითარებაში

პირველი არხი Georgian Public Broadcaster

ყველა ვიდეო
GE © 2026 Lot.ge